• Предмет: Математика
  • Автор: astroganova447
  • Вопрос задан 8 лет назад

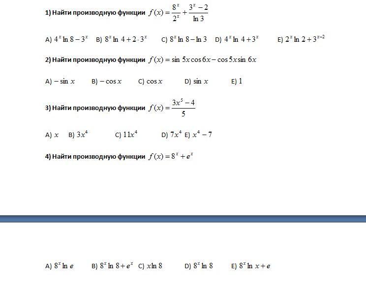
Найти производные
С решением плиз

Приложения:

Ответа на этот вопрос пока нет. Попробуйте найти его через форму поиска.

Вас заинтересует