• Предмет: Математика
  • Автор: solpanserikbolkyzy2
  • Вопрос задан 8 лет назад

x-2x/x при х=5. Помагитееееее​

Ответы

Ответ дал: gaimengigr689
0

Ответ:3

Пошаговое объяснение:

-2*5= -10

-10/5= -2

5-2=3

Ответ дал: solpanserikbolkyzy2
0
Спасибо!
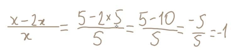
Ответ дал: nikpantyuxin03
0

Решение на картинке                                                                      

Приложения:
Вас заинтересует