• Предмет: Математика
  • Автор: ilnasgo54
  • Вопрос задан 8 лет назад

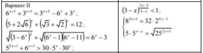
Решить показательные уравнения, неравенства и их системы

Приложения:

Ответа на этот вопрос пока нет. Попробуйте найти его через форму поиска.

Вас заинтересует