• Предмет: Алгебра
  • Автор: mortimerfugg
  • Вопрос задан 8 лет назад

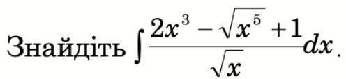
Вычислить неопределенный интеграл.
Детально и СРОЧНО,ЗАРАНЕЕ СПАСИБО.

Приложения:

Ответа на этот вопрос пока нет. Попробуйте найти его через форму поиска.

Вас заинтересует