Найдите допустимые значения переменной для заданной алгебраической дроби:
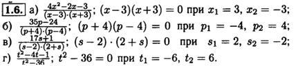
a)(4x^2-2x-3)/(x-3)(x+3)
b)(17s+1)/(s-2)(2-s)
с)(35p-24)/(p^2-16)
дам 30 б,
Ответы
Ответ дал:
0
Ответ:
https://ru-static.z-dn.net/files/dd3/a1ed5b17ecd2e3b69ecd7d26df2fd84e.jpeg
Объяснение:
Приложения:

Вас заинтересует
2 года назад
2 года назад
3 года назад
3 года назад
8 лет назад
8 лет назад
9 лет назад