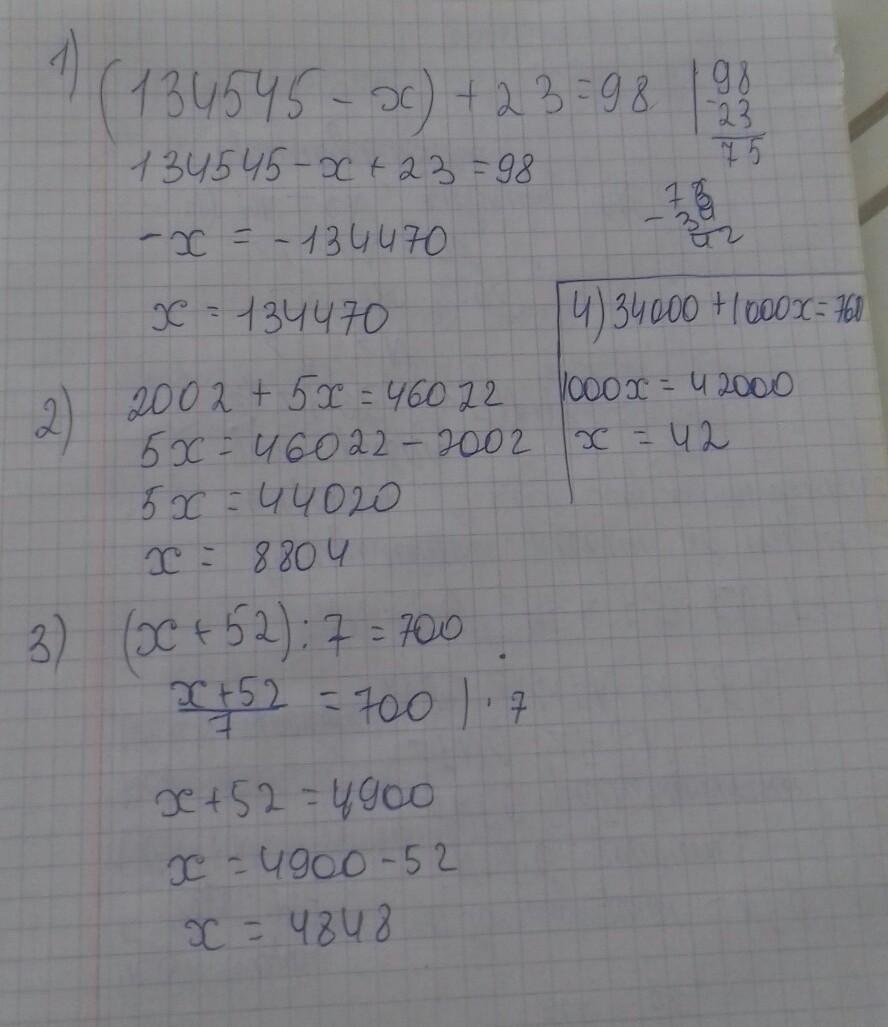
Помогите срочно уравнение 4 класс (134.545-х)+23=98
2.002+х×5=46.022
(х+52)÷7=700
34.000+х×1.000=76.000
Ответы
Ответ дал:
0
Ответ:
4 уравнение не поместилось, где рано допешите пж)
Приложения:

Вас заинтересует
2 года назад
2 года назад
3 года назад
3 года назад
8 лет назад
9 лет назад