• Предмет: Алгебра
  • Автор: eQn1
  • Вопрос задан 11 лет назад

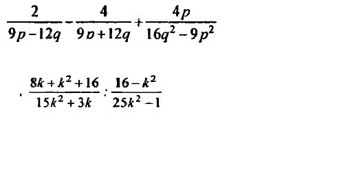
Упростите два выражения помогите очень надо !!!!!!!

Приложения:

Ответы

Ответ дал: prostomama1
0
То что тебе объесняла иришка относится к уровнениям здесь надо просто упростить смотри фото
Приложения:
Вас заинтересует