• Предмет: Математика
  • Автор: ntshmtvv
  • Вопрос задан 8 лет назад

Решите пожалуйста срочно

Приложения:

Ответы

Ответ дал: blackmday12
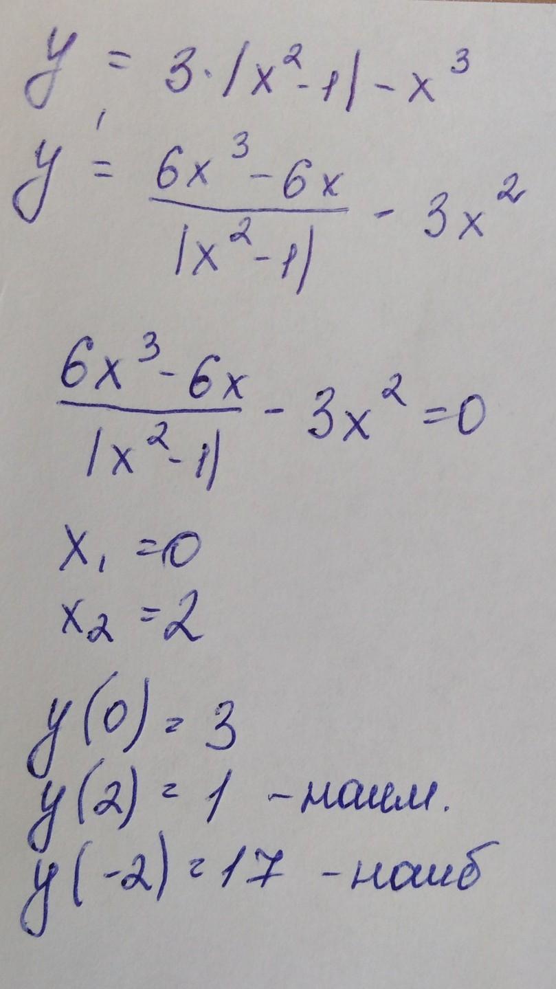
0

1 наименьшее

17 наибольшее

Приложения:
Вас заинтересует