• Предмет: Информатика
  • Автор: vinokoilyours
  • Вопрос задан 8 лет назад

Помогите пожалуйста
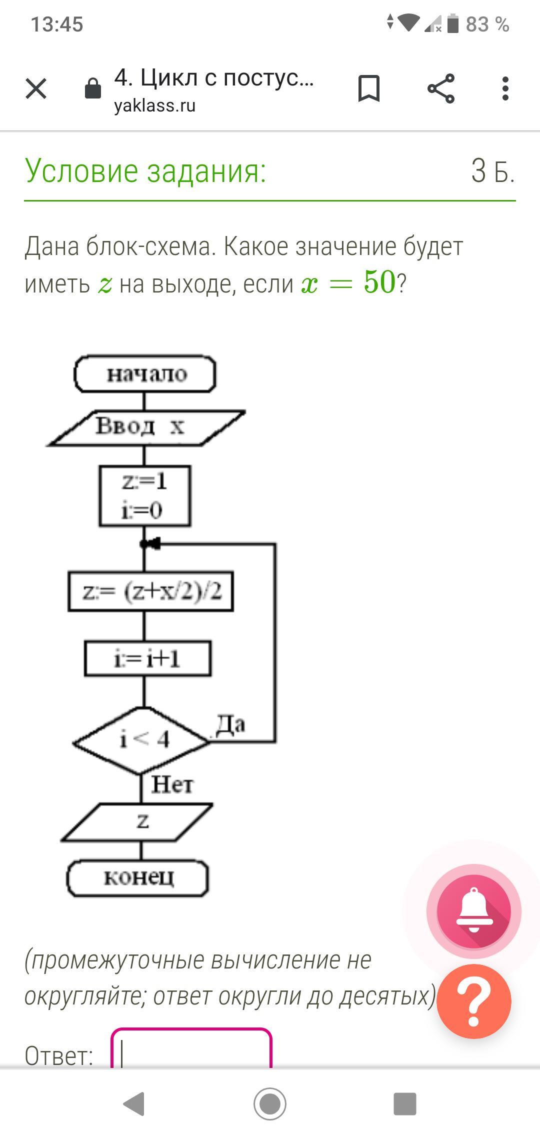
Дана блок-схема. Какое значение будет иметь z на выходе, если x=50?

Приложения:

Ответы

Ответ дал: xsunnattulla
0

Ответ:

Z=23.5

Объяснение:

x=50  , z=1  ,i=0  и  потом

Z1=(1+50/2)/2=13

i1=0+1=1

1<4 принадлежать

Z2=(Z1+50/2)/2=19

i2=i1+1=2

2<4

Z3=(Z2+50/2)/2=22

i3=i2+1=3

3<4

Z4=(Z3+50/2)/2=23.5

i4=i3+1

4<4  неправильно и ответ Z=23.5

Вас заинтересует