• Предмет: Алгебра
  • Автор: iw8471434
  • Вопрос задан 8 лет назад

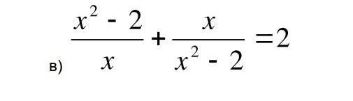
РЕШИТЬ ЭТО УРАВНЕНИЕ!! ПОЖАЛУЙСТА!!!​

Приложения:

Ответа на этот вопрос пока нет. Попробуйте найти его через форму поиска.

Вас заинтересует