• Предмет: Математика
  • Автор: erentus165
  • Вопрос задан 8 лет назад

СРОЧНООО!!!!!!!!!!!!!!!!!!!!
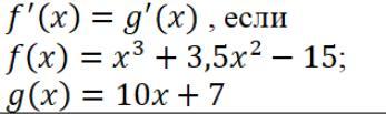
Составьте и решите уравнение:

Приложения:

Ответа на этот вопрос пока нет. Попробуйте найти его через форму поиска.

Вас заинтересует