Ответы
Ответ дал:
0
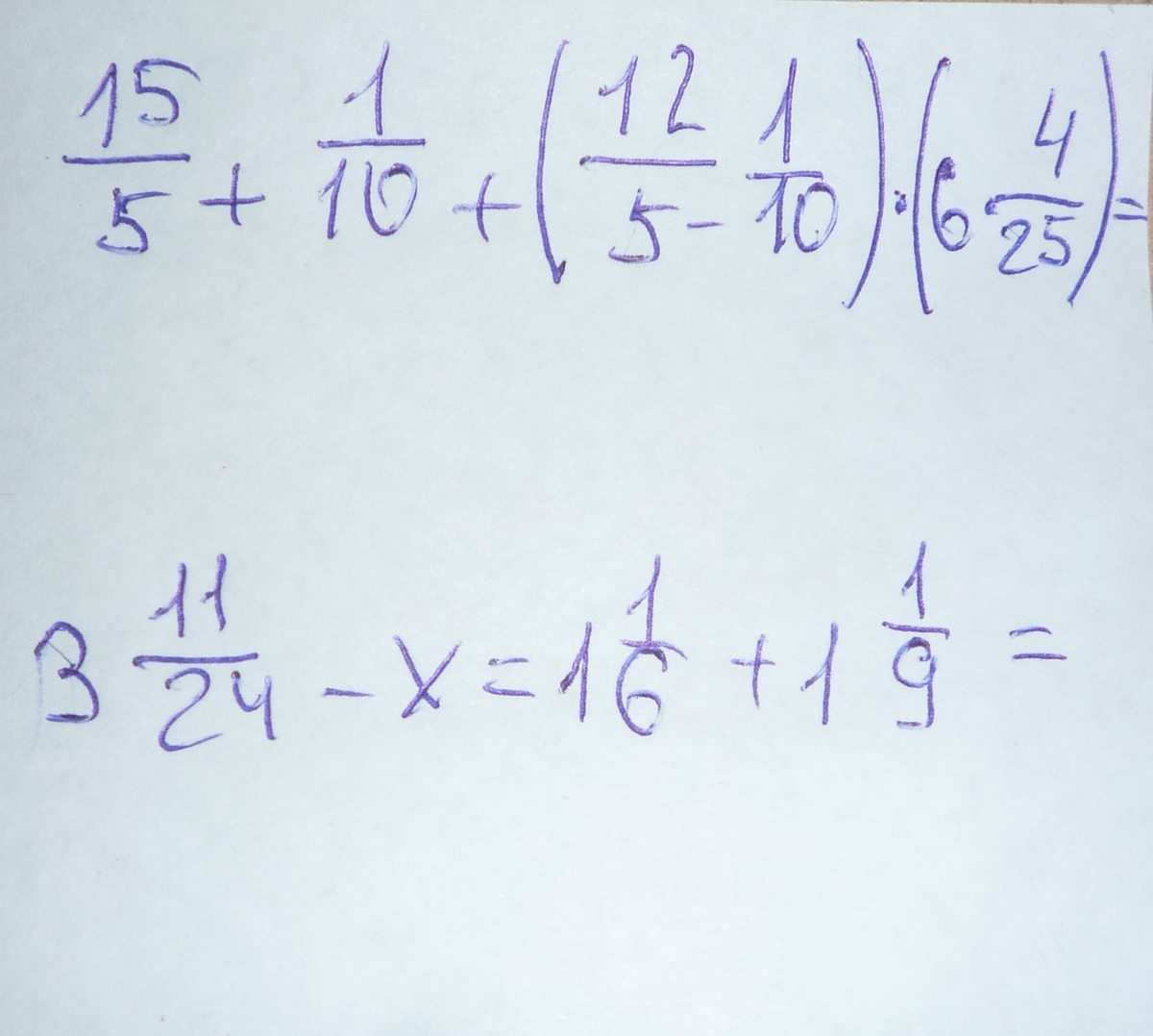
15/5+1/10+(12/5-1/10)*6 4/25=33 33/125
15/5+1/10=(30+1)/10=31/10
12/5-1/10=(24-1)/10=23/10
31/10+23/10=8/10=4/5
4/5*6 4/25=4/5*154/25=4158/125= 33 33/125
3 11/24-х=1 1/6+1 1/9 1 1/6+1 1/9=7/6+10/9=(21+20)/18=41/18
3 11/24-х=41/18
х=3 11/24-41/18
х=83/24-41/18 83/24-41/18=(747-492)/216=255/216= 85/72= 1 13/72
х=1 13/72
15/5+1/10=(30+1)/10=31/10
12/5-1/10=(24-1)/10=23/10
31/10+23/10=8/10=4/5
4/5*6 4/25=4/5*154/25=4158/125= 33 33/125
3 11/24-х=1 1/6+1 1/9 1 1/6+1 1/9=7/6+10/9=(21+20)/18=41/18
3 11/24-х=41/18
х=3 11/24-41/18
х=83/24-41/18 83/24-41/18=(747-492)/216=255/216= 85/72= 1 13/72
х=1 13/72
Вас заинтересует
3 года назад
3 года назад
11 лет назад
11 лет назад
11 лет назад