• Предмет: Алгебра
  • Автор: klimoffl2020
  • Вопрос задан 8 лет назад

Помогите решить хотя-бы пару номеров)

Приложения:

Ответы

Ответ дал: Čøşmøş
0

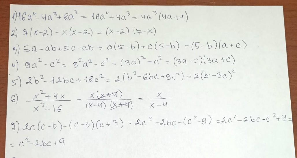
ответы на фото..........

Приложения:
Вас заинтересует