• Предмет: Алгебра
  • Автор: vipprotw
  • Вопрос задан 8 лет назад

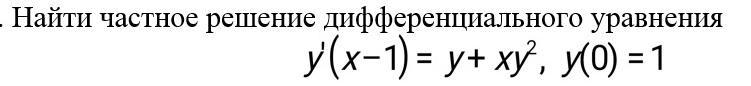
Найти частное решение дифференциального уравнения
y'(x-1)=y+xy^2
y(0)=1

Приложения:

Ответа на этот вопрос пока нет. Попробуйте найти его через форму поиска.

Вас заинтересует