• Предмет: Математика
  • Автор: kairos252
  • Вопрос задан 8 лет назад

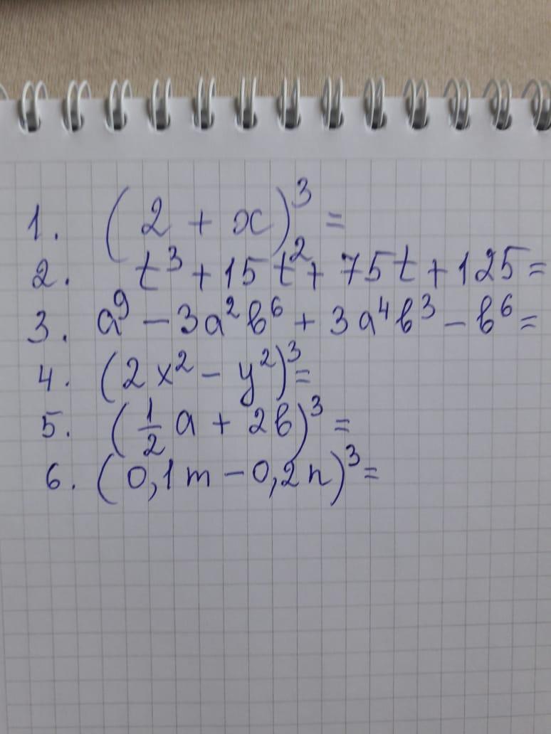
помогите мне с решением

Приложения:

Ответы

Ответ дал: nazarkobylackij
0

Пошаговое объяснение:

1)8+12х+6х²+х³

х³+6х²+12х+8

2)t³+3×t²×5+3×t×25+5³

t³+3×t²×5+3×t×5²+5³

(t+5)³

3)a⁹-(3×6)a²b+3a⁴b³-b⁶

a⁹-18a²b+3a⁴b³-b6

4)(2x²)³-3×(2x²)²×y²+3×2x²×(y²)²-(y²)³

8x⁶-3×4x⁴y²+3×2x²y⁴-y⁶

8x⁶-12x⁴y²+6x²y⁴-y⁶

5)(1/10m-1/5n)³

1/1000m³-3/500m²n+3/250mn²-1/125n³

фухххх...вроде всё

Вас заинтересует