• Предмет: Математика
  • Автор: Loverlva
  • Вопрос задан 2 года назад

РЕШИТЕ ОДИН ПРИМЕР ПОЖАЛУЙСТА

Приложения:

Ответы

Ответ дал: b1azer29
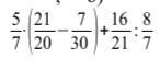
1

Ответ:

1)21/20 - 7/30 = находим общий знаменатель это будет 60; 63 - 14 = 49/60

2)16/21 : 8/7 = стоит знак разделить значит дробь 8/7 мы переворачиваем

то есть 16/21 умножить на 7/8 = 2/3

3)5/7 умножить на 49/60 = 7/12

4)7/12 + 2/3 = общий знаменатель будет 12; 7 + 8 = 15/12 = одна целая 3/12

Пошаговое объяснение:


Loverlva: СПАСИБО БОЛЬШОЕ!!!
Вас заинтересует