• Предмет: Математика
  • Автор: denisikteslin
  • Вопрос задан 8 лет назад

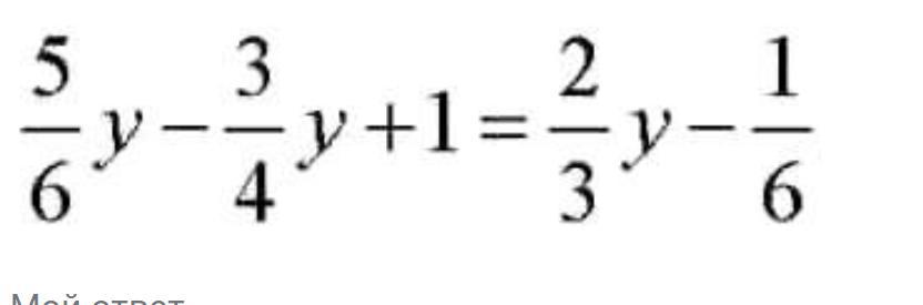
срочно пж прошуу очень надо!!!!! 1 пример легкий очень

Приложения:

Ответы

Ответ дал: Pavelrents
0
10у-9у+12=8у-2
у+12=8у-2
у-8у=-2-12
-7у=-14
у=2
Ответ дал: denisikteslin
0
ладно
Вас заинтересует