• Предмет: Математика
  • Автор: Аноним
  • Вопрос задан 2 года назад

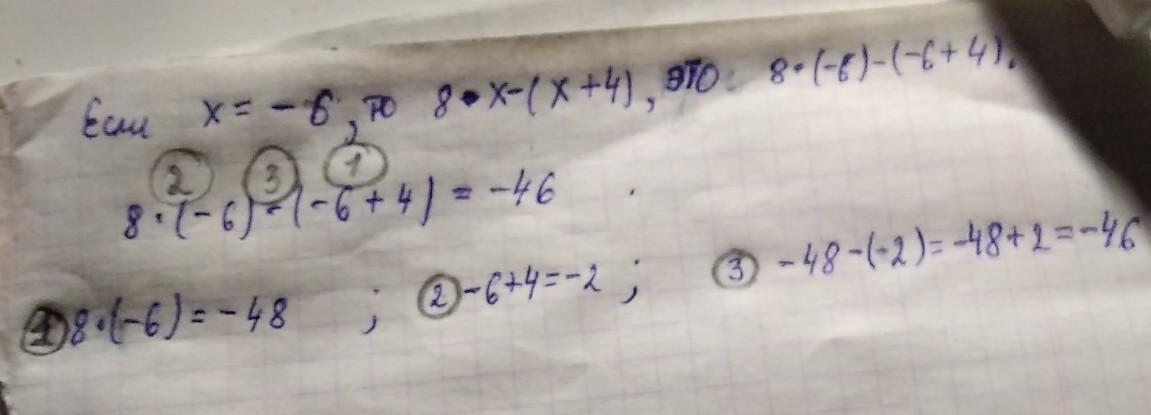
Найди значение выражения 8⋅x−(x+4) при x = −6.

Ответы

Ответ дал: Amaimoon
1

Ответ:

-46.

Пошаговое объяснение:

8x-(x+4)=8x-x-4=7x-4=-42-4=-46

Ответ дал: maksimvinzit
0

Ответ:

все имеется на фотографииииииии

Приложения:
Вас заинтересует