• Предмет: Алгебра
  • Автор: daniellasan2604
  • Вопрос задан 8 лет назад

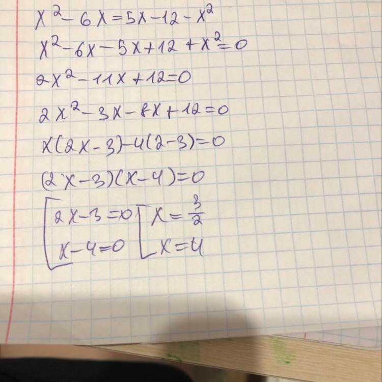
Помогитеее решить уравненияяя; x^2-6x=5x-12-x^2
4x^2-19x+32=-6x^2-6x+41
-3x^2-x+8=(x-3)^2
Прошууууу

Ответы

Ответ дал: akulaizikei84
0
Это первое щас сделаю остальные
Приложения:
Ответ дал: akulaizikei84
0
Я тут не давно и протупила сори
Вас заинтересует