• Предмет: Математика
  • Автор: Cloudishere
  • Вопрос задан 8 лет назад

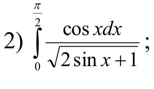
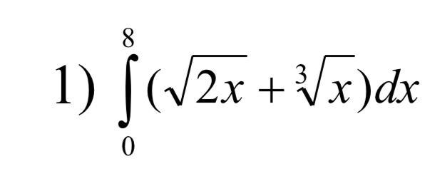
30 БАЛОВ СРОЧНО :( срочно с интегралами... или 1 или 2. СРОЧНО

Приложения:

Ответы

Ответ дал: Miroslava227
0

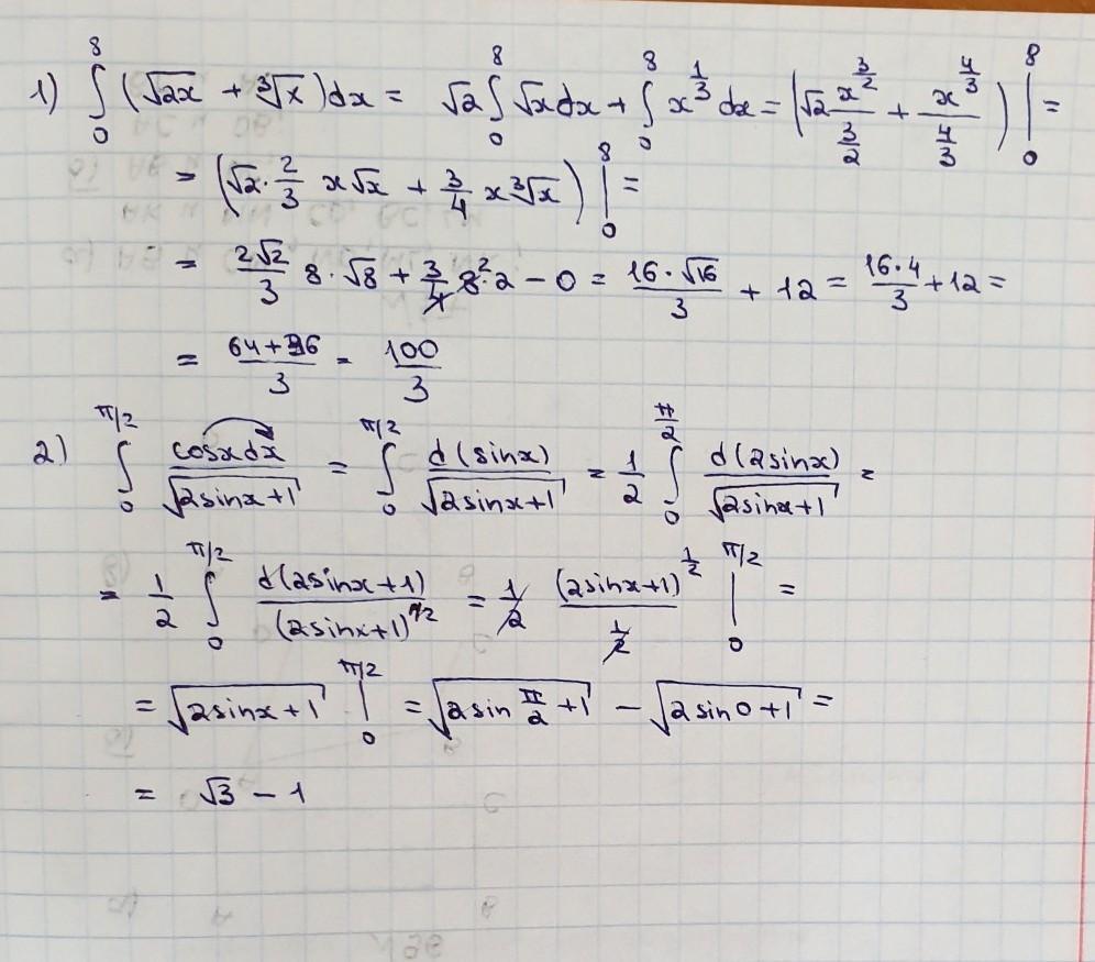
Ответ:

решение на фотографии

Приложения:
Вас заинтересует