• Предмет: Алгебра
  • Автор: Аноним
  • Вопрос задан 2 года назад

1. Представьте в виде многочлена выражения:
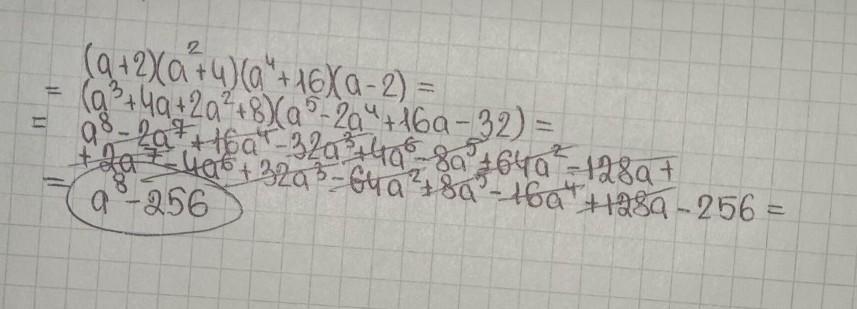
в) (a+2)(a2+4)(a4+16)(a-2);


Ответы

Ответ дал: garmendia
2

Ответ:

a {}^{8}  - 256

.

........................

Приложения:
Вас заинтересует