• Предмет: Математика
  • Автор: sdv68102
  • Вопрос задан 8 лет назад

Помогите пожалуйста кто может

Приложения:

Ответы

Ответ дал: 9137093932viktoria
0

Ответ:

Пошаговое объяснениеt

Приложения:
Ответ дал: AslanSaslanov
0

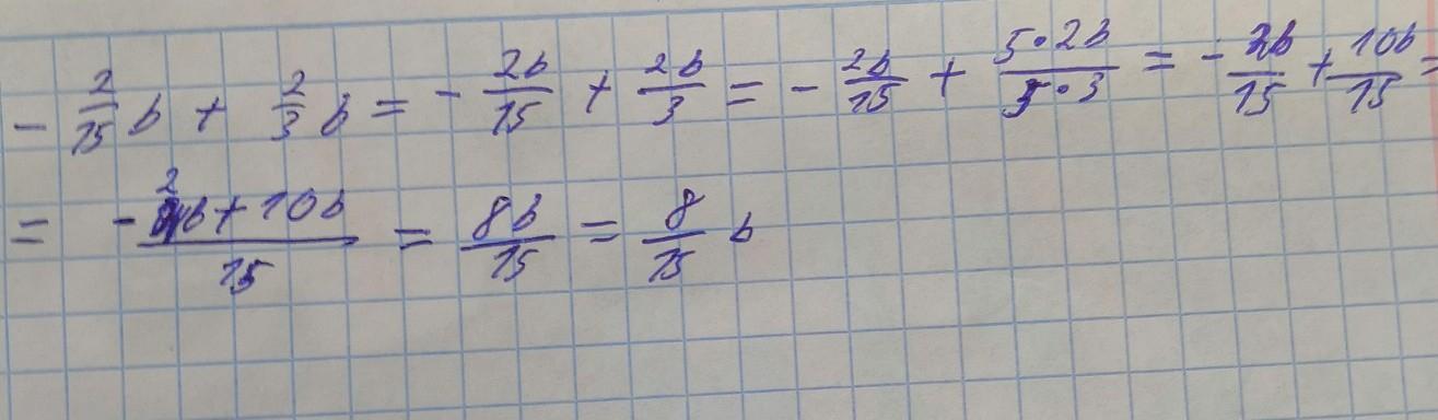
Ответ:

8/15 b

Решение на фото.

Приложения:
Вас заинтересует