СРОЧНО!!!! написать пример на языке паскаля

Приложения:

Ответы

Ответ дал: regmay
0

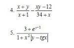
4) (x+y)/(x+1)-(x*y-12)/(34+x)

5) (3+Power(e,y-1))/(1+x*x*Abs(y-sin(x)/cos(x)))

Ответ дал: regmay
0
Просто присваиваешь это переменной
Ответ дал: regmay
0
и переменные y,x,e инициализируй
Вас заинтересует