• Предмет: Математика
  • Автор: Norafisher666
  • Вопрос задан 8 лет назад

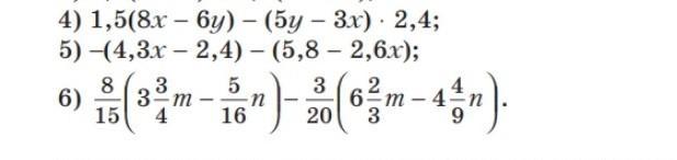
Раскройте скобки и приведите подобные слагаемые ​

Приложения:

Ответы

Ответ дал: shenelevaksenia
0

*4)0,6(32x-35y)*

*5)-1,7(x+2)*

*6)0,5(2m+n)*

Вас заинтересует