• Предмет: Алгебра
  • Автор: klaccc28
  • Вопрос задан 8 лет назад

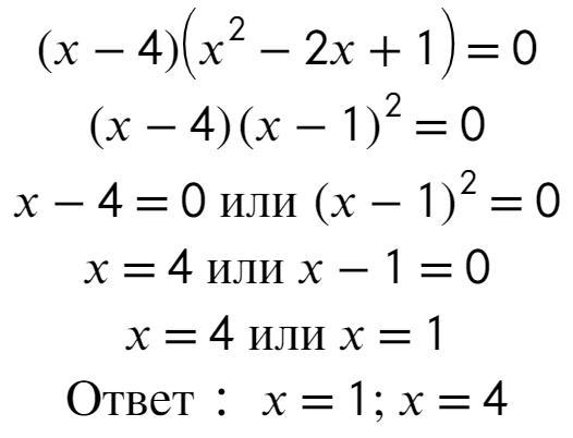
(x-4)(x2-2x+1)=0
Помогите срочно​

Ответы

Ответ дал: logop43275
0

....................

Приложения:
Вас заинтересует