• Предмет: Математика
  • Автор: gmemes
  • Вопрос задан 2 года назад

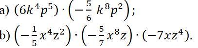
Выполнить умножение одночленов. *

Приложения:

Ответы

Ответ дал: davletovamahlia
0

Ответ:

ответ первого: -5k^12p^7

b)=(1/7 x^12 z^3)(-7xz^4)= -x^13 z^7

Вас заинтересует