• Предмет: Математика
  • Автор: Zicopiko
  • Вопрос задан 8 лет назад

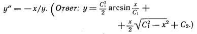
найти общее решение диф.ур-ия,допускающего понижение порядка
y''=-x/y

Приложения:

Ответа на этот вопрос пока нет. Попробуйте найти его через форму поиска.

Вас заинтересует