• Предмет: Математика
  • Автор: rjqkkvblkrj
  • Вопрос задан 8 лет назад

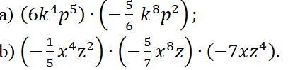
помогите пожалуйста .....

Приложения:

Ответы

Ответ дал: shaman132435
0

Ответ:

Пошаговое объяснение:

1. -5k^12p^7

2. -(x^13z^7)

Вас заинтересует