• Предмет: Алгебра
  • Автор: Турбокрут5
  • Вопрос задан 8 лет назад

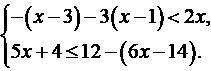
ДАЮ 100 БАЛЛОВ. Помогите с алгеброй. 8 класс

Приложения:

Ответы

Ответ дал: sazonovakarinae
0

Объяснение:

вот вот вот вот вот вот вот вот вот

Приложения:
Вас заинтересует