• Предмет: Алгебра
  • Автор: Lundaite
  • Вопрос задан 8 лет назад

Решите пожалуйста хотя бы половину из этого.
Буду очень благодарен

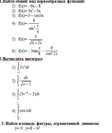
Приложения:

Ответы

Ответ дал: NNNLLL54
0

1.; ; ; 1); ; F(x)=int (-6x-8), dx=-3x^2-8x+C\\2); ; F(x)=int (3x^2-5x), dx=x^3-5cdot frac{x^2}{2}+C\\3); ; F(x)=int (3-cos5x), dx=3x-frac{1}{5}, sin5x+C\\4); ; F(x)=int frac{9, dx}{sin^2frac{x}{4}}=9cdot (-4ctgfrac{x}{4})+C=-36, ctgfrac{x}{4}+C

5); ; F(x)=int frac{3, dx}{sqrt{4+2x}}=3cdot 2cdotfrac{1}{2}, sqrt{4+2x}+C=3, sqrt{4+2x}+C\\6); ; F(x)=int (-3sinfrac{x}{8}-frac{6}{cos^22x}), dx=3cdot 8, cosfrac{x}{8}-6cdot frac{1}{2}cdot tg2x+C=\\=24, cosfrac{x}{8}-3, tg2x+C

3.; ; ; ; y=8-x^2; ; ,; ; y=0\\8-x^2=0; ; ,; ; x^2=8; ; ,; ; x=pm sqrt8\\S=intlimits^{sqrt8}_{-sqrt8},(8-x^2), dx=2intlimits^{sqrt8}_0, (8-x^2), dx=2cdot (8x-frac{x^3}{3})Big|_0^{sqrt8}=\\=2cdot (8sqrt8-frac{8sqrt8}{3})=2cdot frac{2}{3}cdot 8sqrt8=frac{32sqrt8}{3}=frac{64sqrt2}{3}

Ответ дал: LuciferMotningstar
0
ты супер!
Вас заинтересует