• Предмет: Информатика
  • Автор: olegustiwitsky
  • Вопрос задан 8 лет назад

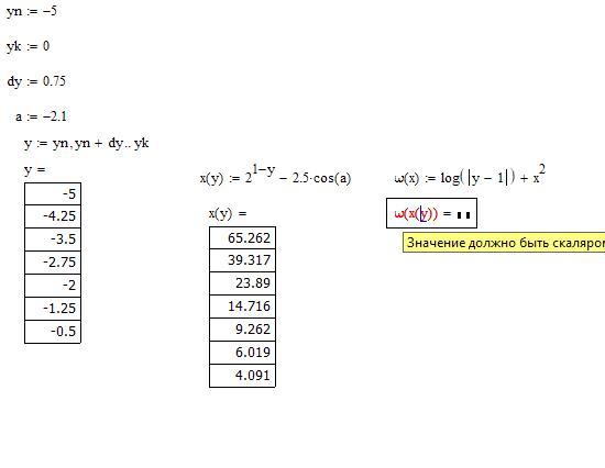
Значение должно быть скаляром или матрицей

Как исправить?

Приложения:

Ответа на этот вопрос пока нет. Попробуйте найти его через форму поиска.

Вас заинтересует