• Предмет: Математика
  • Автор: AnyFox2010
  • Вопрос задан 8 лет назад

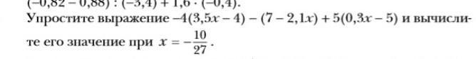
Друзья надеюсь на вашу помощь! если можете то подробно расписать! заранее спасибо ❤️​

Приложения:

Ответы

Ответ дал: Djnu
0

Ответ:мне кажется это не возможным

Пошаговое объяснение:

Вас заинтересует