• Предмет: Алгебра
  • Автор: kesha44444444
  • Вопрос задан 8 лет назад

Решите алгебру пожалуйста

Приложения:

Ответы

Ответ дал: timakonovalov2000
0

Ответ:

x} 1

x{ 2

x{} 1.2

Объяснение:

Ответ дал: bulletproo
0

Ответ:

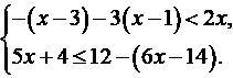
-(x-3) - 3(x-1) < 2x

5x + 4leq12 - (6x - 14)

-x +3 -3x + 3 < 2x

5x + 4 leq 12-6x+14

-x-3x-2x < - 3 - 3

5x + 6x leq 12 + 14 - 4

-6x > -6

11x leq 22

x= 1

x=2

Вас заинтересует