• Предмет: Математика
  • Автор: elenaoshkalyuk8884
  • Вопрос задан 8 лет назад

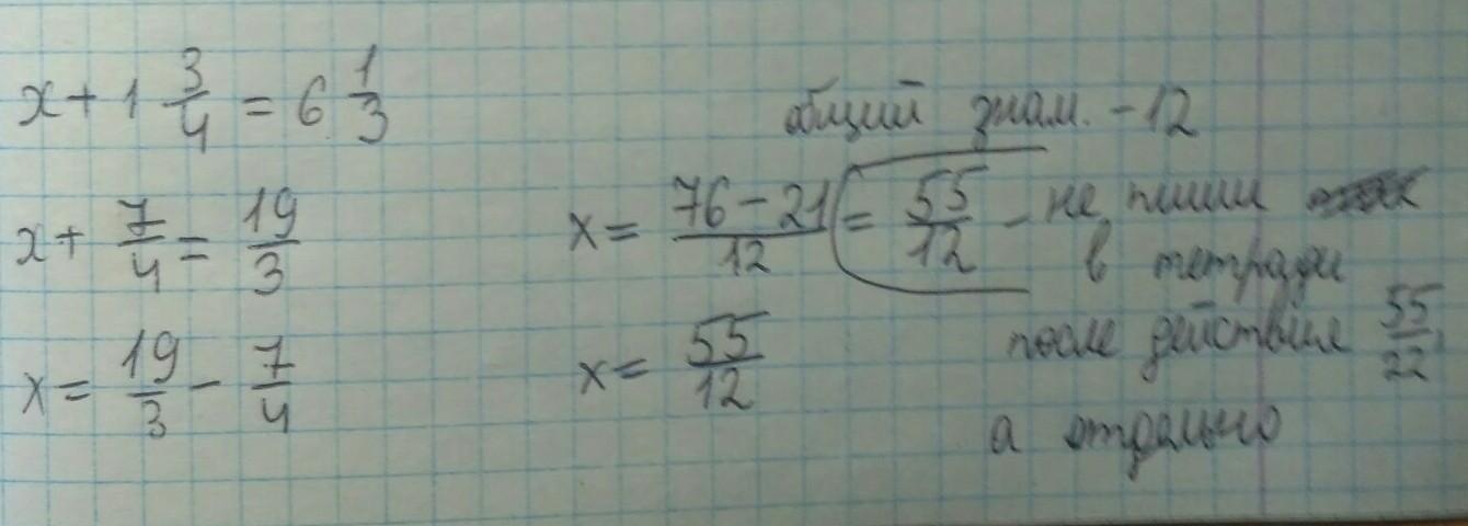
решите уравнение:х+1 3/4=6 1/3

Ответы

Ответ дал: MYAMI
0

Надеюсь, что ты все понял

Приложения:
Вас заинтересует