• Предмет: Алгебра
  • Автор: МаксимКорсарский
  • Вопрос задан 8 лет назад

Даю много баллов
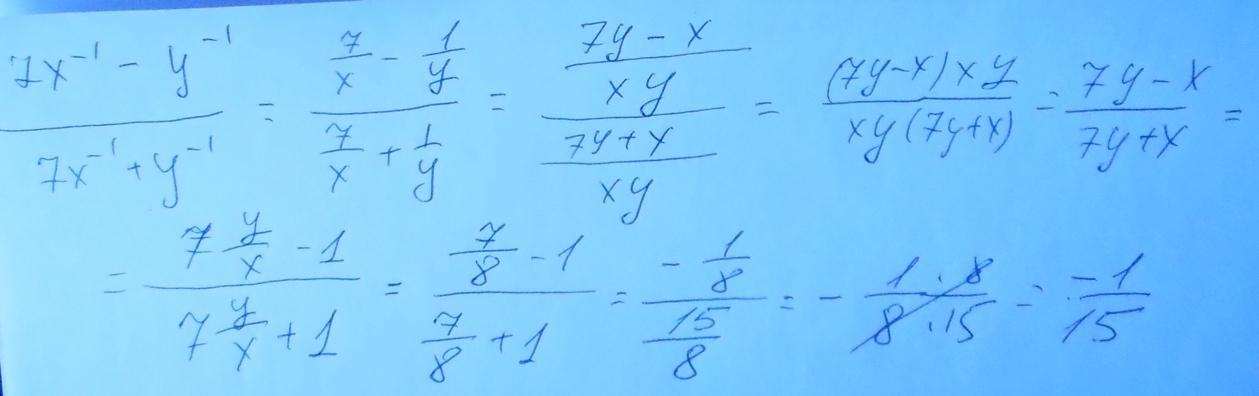
Всё на картинке

Приложения:

Ответы

Ответ дал: miron2077
0

!!!!!!!!!!!!!!!!!!!!!!!!!!!!

Приложения:
Ответ дал: МаксимКорсарский
0
Всё верно, спасибо
Вас заинтересует