• Предмет: Алгебра
  • Автор: maksvishnevskiy00
  • Вопрос задан 8 лет назад

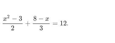
Помогите решить уравнение!

Приложения:

Ответы

Ответ дал: mishah03
0

Ответ:

x1=-13/3 x2=5

Объяснение:

Вас заинтересует