• Предмет: Алгебра
  • Автор: JuniDep
  • Вопрос задан 8 лет назад

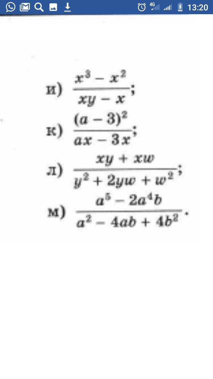
Сократите рациональную дробь

Приложения:

Ответы

Ответ дал: Xonda7777
0

Ответ:

и) x-1/y-1

k) a-3/x

л) x/y+w

м) a^4

Вас заинтересует