• Предмет: Алгебра
  • Автор: dilevskiy006
  • Вопрос задан 2 года назад

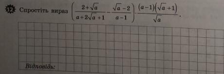
АЛГЕБРА 8 КЛАС СРОЧНО 50 БАЛОВ
КТО БУДЕТ ПИСАТЬ ФИГНЮ СРАЗУ ЖАЛОБА НА АККАУНТ И БАН!

Приложения:

Ответы

Ответ дал: dariabalvas
1

1 действие:

Запишим все числители над наименьшим общим знаменателем

2 действие:

Раскрыть модуль

Сократить дробь

3 действие:

Привести подобные члены

Сократить дробь

4 действие:

Раскрыть скобки

5 действие:

Сократить противоположные выражения

6 действие:

Сократить числитель и знаменатель дроби

Решение:2

Приложения:
Вас заинтересует