• Предмет: Алгебра
  • Автор: gonsiknelegalnyj5
  • Вопрос задан 8 лет назад

Помогите пожалуйста!

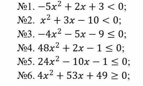
Төмендегі теңсіздіктердің шешімін трафиктік тәсілмен табыңдар​

Приложения:

Ответа на этот вопрос пока нет. Попробуйте найти его через форму поиска.

Вас заинтересует