• Предмет: Математика
  • Автор: dobrohotovadara45
  • Вопрос задан 8 лет назад

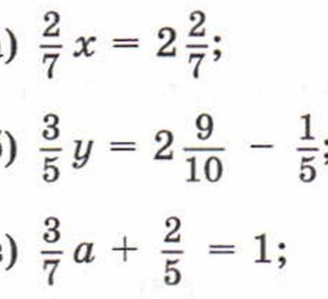
решите пж, с решением ​

Приложения:

Ответы

Ответ дал: mishutka1541
0

1) 27х=2 27

х=167*72

х=8

2) y=9/2

y=4(1/2)0,6у=2,9-0,2

0,6у=2,7

у=4,5

3) не знаю

ЕСЛИ Я НЕ ПРАВИЛЬНО СДЕЛАЛ- ДАЙТЕ ЗНАТЬ

Вас заинтересует