• Предмет: Алгебра
  • Автор: msapollona
  • Вопрос задан 8 лет назад

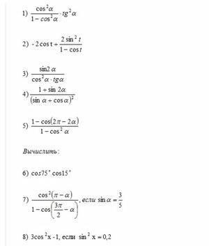
Помогите, пожалуйста!!!! срочно надо

Приложения:

Ответы

Ответ дал: jfufusisiej
0

Ответ:

 frac{ cos(2a) }{ sin :  {a}^{2} ( cos( {a}^{2} ) ) }

Вас заинтересует