• Предмет: Математика
  • Автор: 1test06
  • Вопрос задан 8 лет назад

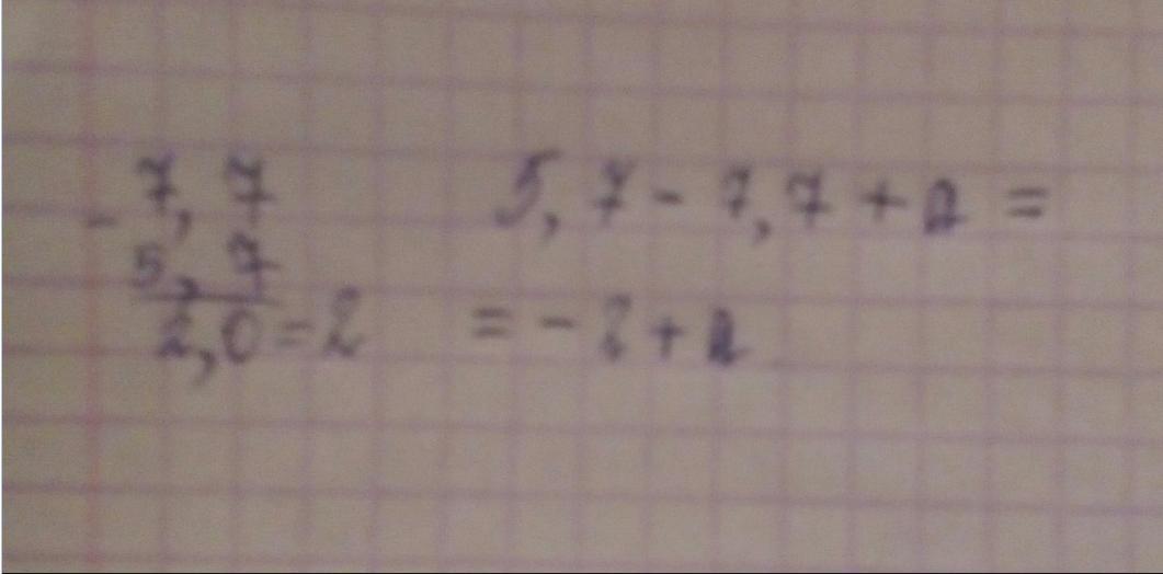
Упро­стить вы­ра­же­ние :

5,7-7,7+а. В от­ве­те на пер­вом месте за­пи­сать число, а потом букву.


Ответы

Ответ дал: sanjaymorist199
0

Ответ:

Пошаговое объяснение:

Приложения:
Вас заинтересует