• Предмет: Математика
  • Автор: namorfchannel
  • Вопрос задан 8 лет назад

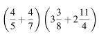
ПОМОГИТЕ ПЖ СРОЧНО!!!!!! ДАЮ 15 БАЛЛОВ

Приложения:

Ответы

Ответ дал: ddjbvj
0

Ответ:

13/1

Пошаговое объяснение:

(28/30 + 20/30) (27/8 + 19/4) = (48/30) (27/8 + 38/8) = (8/5) (65/8) = 8/5 × 65/8= 13/1

Вас заинтересует