• Предмет: Алгебра
  • Автор: ai223
  • Вопрос задан 8 лет назад

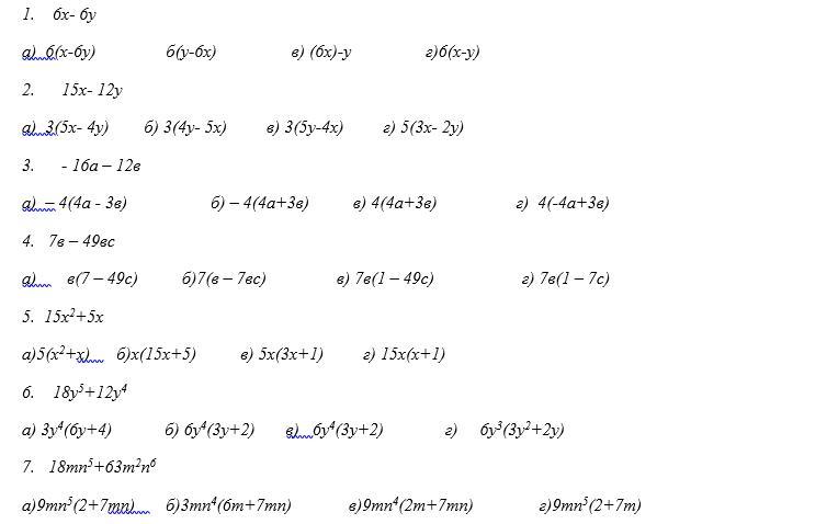
АЛГЕБРА ПОМОГИТЕ

15Б СРОЧНО
ВЫНЕСЕНИЯ ОБЩЕГО МНОЖИТЕЛЯ ЗА СКОБКУ

Приложения:

Ответы

Ответ дал: danil9321
0
Или я слепой или 15б нету
Вас заинтересует