• Предмет: Математика
  • Автор: kyvvyvy
  • Вопрос задан 8 лет назад

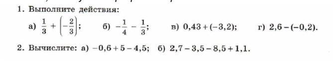
Выполните действия:

Приложения:

Ответы

Ответ дал: Dlight96
0

Ответ:

Пошаговое объяснение:

а) -1/3

б) -7/12

в) -2, 77

г) 2, 8

2 а) -0,1

б) -8,2

Вас заинтересует