• Предмет: Математика
  • Автор: gloxym380567795
  • Вопрос задан 8 лет назад

Решите пример даю 13 баллов(больше нету)

Приложения:

Ответы

Ответ дал: 20aleksandra04d
0

Ответ:

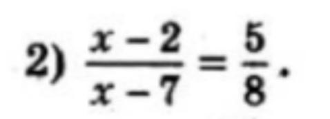
frac{x-2}{x-7} =frac{5}{8}

frac{x-2}{x-7} =frac{5}{8}

x≠7

8(x-2)=5(x-7)

8x-16=5(x-7)

8x-16=5x-35

8x-5x-16=-35

8x-5x=-35+16

3x=-35+16

3x=-19

x=-frac{19}{3} , x≠7

x=-frac{19}{3}

Пошаговое объяснение:

Вас заинтересует