• Предмет: Алгебра
  • Автор: vladsotnikov222
  • Вопрос задан 2 года назад

Решите систему неравенств.

Приложения:

Ответы

Ответ дал: Аноним
0

решение во вложении

Приложения:
Ответ дал: nktselepov
1

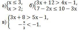
а)

\left \{ {{x\leq 3} \atop {x>2}} \right.

x∈(2; 3]

б)

\left \{ {{3x+12>4x-1} \atop {7-2x\leq 10-3x}} \right. \\\left \{ {{x<13} \atop {x\leq 3}} \right.

x∈ (-∞ ; 3]

в)

\left \{ {{3x+8>5x-1} \atop {-\frac{x}{3}<-1 }} \right. \\\left \{ {{x>4,5} \atop {x>3}} \right.

x∈(3; 4,5)


oganesbagoyan: б) ! Система {x >13 ;x ≤ 3. ⇒x ∈ ∅ , а не x∈(-∞; 3] ∪ (13; +∞)
oganesbagoyan: б) {x < 13 ;x ≤ 3. ⇒ x ≤ 3. иначе x∈ (-∞ ; 3]
Вас заинтересует