Ответы
Ответ дал:
0
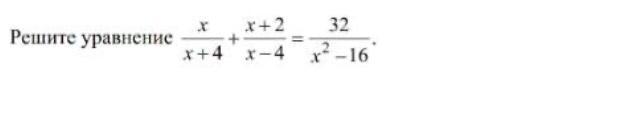
Решение уравнения на фото:
Приложения:

Ответ дал:
0
Спасибо большое! :)
Вас заинтересует
2 года назад
2 года назад
3 года назад
8 лет назад
9 лет назад
9 лет назад