• Предмет: Алгебра
  • Автор: JeonJungKook01091997
  • Вопрос задан 8 лет назад

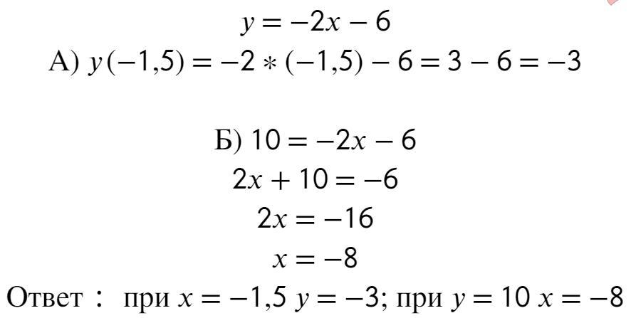
1) Дана функция y = -2x-6, найдите
А) значение функции, при аргументе = - 1,5
Б) значение аргумента, при значении функции = 10

Ответы

Ответ дал: logop43275
0

.....................

Приложения:
Ответ дал: kmurodalieva
0

Ответ: а) - 1,5=-2х-6

- 2х=6-1.5

-2х=4.5/-2

х= - 2,25

Б) у=-2*10-6

у=-20-6

у=26

Объяснение:

Приложения:
Вас заинтересует