• Предмет: Алгебра
  • Автор: oliveforever69
  • Вопрос задан 8 лет назад

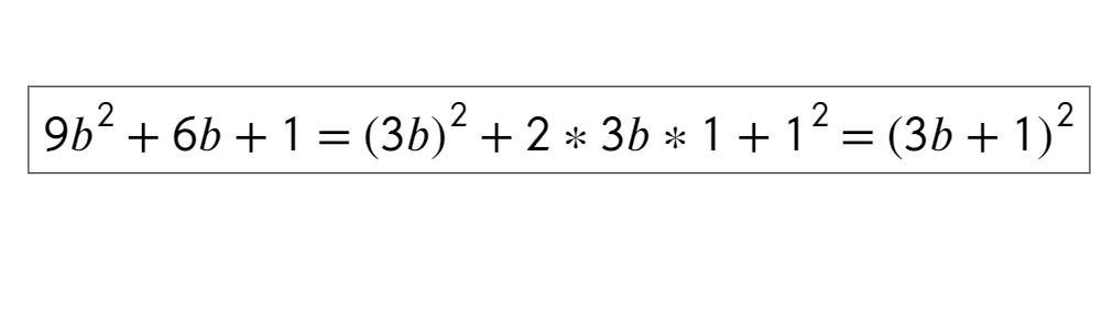
срочно, нужно разложить на множители


9b^2+6b+1

Ответы

Ответ дал: logop43275
0

.......................

Приложения:
Ответ дал: Dimatkd
0

Объяснение:

(3х+1)^2=0

3х=-1

х=-1/3

Приложения:
Вас заинтересует